English
全部
搜尋
圖片
影片
地圖
更多
新聞
航班
旅遊
筆記本
檢舉不當內容
請選取下列任一選項。
不相關
不當內容
成人內容
兒童性虐待
長度
全部
短 (少於 5 分鐘)
中 (5-20 分鐘)
長 (超過 20 分鐘)
日期
全部
過去 24 小時
過去 1 週
過去 1 個月
過去 1 年
解析度
全部
低於 360p
360 像素或更高
480p 或更高
720p 或更高
1080p 或更高
來源
全部
Myspace
Dailymotion
Metacafe
價格
全部
免費
付費
清除篩選條件
安全搜尋:
適中
嚴格
普通 (預設)
關閉
篩選
1:57
giancolianswers.com
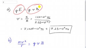
Giancoli 7th Edition, Chapter 27, Problem 2
a) What is the velocity of a beam of electrons that go undeflected when passing through crossed (perpendicular) electric and magnetic fields of magnitude 1.88
2015年1月2日
Control Game
1:40
Control - Official Gameplay Trailer
YouTube
GameSpot Trailers
298.2萬 觀看人次
2019年3月26日
10:19:52
CONTROL Gameplay Walkthrough Part 1 FULL GAME [1080p HD 60FPS PC] - No Commentary
YouTube
MKIceAndFire
176.8萬 觀看人次
2019年8月27日
56:45
CONTROL Walkthrough Gameplay Part 1 - INTRO (FULL GAME)
YouTube
theRadBrad
402.1萬 觀看人次
2019年8月25日
熱門影片
0:54
Introduction to Control Systems | Understanding Control Systems
mathworks.com
2016年10月31日
Giancoli 7th Edition, Chapter 15, Problem 2
giancolianswers.com
2014年11月13日
Introduction to Control Systems 1.1
circuitbread.com
2020年8月19日
Mind Control Videos
13:18
Mind Control: Project MK-Ultra Explained
YouTube
WatchMojo.com
12.5萬 觀看人次
2024年2月25日
53:33
Your Brain: Who's in Control? | Full Documentary | NOVA | PBS
YouTube
NOVA PBS Official
904.7萬 觀看人次
2023年6月1日
3:32
Master Mentalist Shows How The Mind Can Have Control And Power Over A Person’s Body
YouTube
Dr. Phil
184.4萬 觀看人次
2019年3月18日
0:54
Introduction to Control Systems | Understanding Control Systems
2016年10月31日
mathworks.com
Giancoli 7th Edition, Chapter 15, Problem 2
2014年11月13日
giancolianswers.com
Introduction to Control Systems 1.1
2020年8月19日
circuitbread.com
0:47
Solution manual of Control Systems Engineering 6th , 7th edition by N
…
2021年8月9日
namavid.com
Signals and Systems Basic-25/Solution of 1.27a/1.27b/1.27c/1.
…
1.4萬 觀看人次
2022年1月2日
YouTube
Mathosy Guru - Rajiv Patel
P2.31 An interacting control system with two inputs and two outputs i
…
2023年6月29日
numerade.com
10:44
Introduction to Control System
224萬 觀看人次
2018年1月19日
YouTube
TutorialsPoint
23:12
Introduction to Systems and Control
23.5萬 觀看人次
2017年7月4日
YouTube
Control engineering
6:29
Understanding Control System
47.6萬 觀看人次
2020年8月31日
YouTube
Sabin Civil Engineering
14:12
Second Order System
52.9萬 觀看人次
2018年1月19日
YouTube
TutorialsPoint
10:58
Basics of Control Systems (Solved Problem 4)
3.7萬 觀看人次
2020年12月5日
YouTube
Neso Academy
5:46
Open-Loop Control Systems | Understanding Control Systems,
…
23.9萬 觀看人次
2016年10月25日
YouTube
MATLAB
28:15
Lec 17 - Introduction To Problem Solving and Programming
6954 觀看人次
2008年1月29日
YouTube
nptelhrd
2:47
Problem #17 - Triangle Area
9.5萬 觀看人次
2022年2月28日
YouTube
Programming Advices
27:57
The ENTIRE Book of Deuteronomy Explained
7萬 觀看人次
2022年7月18日
YouTube
Bible Omnibus
1:21:31
Lecture 1 - Introduction : Advanced Control Systems 2
8139 觀看人次
2018年10月27日
YouTube
S K
12:14
Chapter 7 (System Life Cycle) Last minute preparation : ICT IGCSE 0417
4.4萬 觀看人次
2021年7月23日
YouTube
edubbey
7:27
What is Change Control in Project Management?
1.4萬 觀看人次
2023年5月17日
YouTube
Adriana Girdler
5:26
Math Accuplacer - Test 1 Problem 17
1.8萬 觀看人次
2021年5月12日
YouTube
John Cichowski
Introduction to Control Systems | Understanding Control Systems
2016年10月31日
mathworks.com
Chapter 2 Exercise Problems 2.70 Solution | Linear Circuit Analysis
218 觀看人次
11 個月前
YouTube
Creative World
Lecture 12- Control Systems II, ETH Zurich(Spring 2018)
885 觀看人次
2018年10月27日
YouTube
S K
53:32
Lec-17 Models of Industrial Control Devices and Systems (Contd.)
1.8萬 觀看人次
2010年10月22日
YouTube
nptelhrd
Control System 17 | State Space Analysis - 2 | EE, ECE & IN | GAT
…
3.3萬 觀看人次
2022年10月29日
YouTube
GATE Wallah - EE, EC, CS & IN
Problem 2: Consider the system shown in Fig. 2 where the plant ...
…
11 個月前
askfilo.com
Serway Chapter 27 Problem-18
210 觀看人次
11 個月前
YouTube
Physics by Atta-ul-Latif Khawaja
3:31
Fundamentals Of Electric Circuits Practice Problem 17.3
724 觀看人次
2021年12月7日
YouTube
Bubu
8:16
Introduction to Control System/Unit_1/#1/Tamil
1.7萬 觀看人次
2022年7月5日
YouTube
Dr.Jayaudhaya ,Simple and Easy Way
16:03
Analogous Systems
13.3萬 觀看人次
2021年10月4日
YouTube
Neso Academy
查看更多影片
更多相關影片
意見反應